Hledat v komentářích
Investiční doporučení
Výsledky společností - ČR
Výsledky společností - Svět
IPO, M&A
Týdenní přehledy
 

Detail - články
Sankce proti „jadernému“ Íránu zatím fungují, to se ale změní

Sankce proti „jadernému“ Íránu zatím fungují, to se ale změní

03.06.2013 14:51
Autor: Redakce, Patria.cz

Sankcím proti Íránu je věnována velká pozornost. Týká se zejména toho, jaký vliv mají na íránské exporty a zahraniční obchod. Jak ukazují například odhady MMF, v zahraničním obchodě nastal znatelný pokles a sankce jsou tak v ekonomickém smyslu úspěšné. Poměr dovozů k HDP klesl o třetinu a poměr vývozů k HDP o čtvrtinu. Tato čísla navíc ani neodrážejí plný dopad sankcí, protože podle MMF dojde letos druhým rokem v řadě k poklesu HDP. Tvrdý dopad sankcí může znamenat odraz finančních restrikcí uplatňovaných ze strany Evropské unie. V jejich rámci nemá Írán přístup do mezinárodního systému SWIFT, který pomáhá vypořádat mezinárodní peněžní platby. Pro Írán je tak velmi těžké tohoto vypořádání dosáhnout. Je jasné, že sankce fungují. Otázkou je, zda ekonomické ztráty povedou ke změně politiky.

V rámci snahy nalézt odpověď na to, jaký dopad budou mít sankce na politický směr Íránu, jsme sestavili model, který bere v úvahu klíčové ekonomické faktory (cena ropy a plynu a vládní příjmy s nimi související, vládní spotřeba, tvorba hrubého kapitálu, HDP) a faktory politické. Ty odrážejí pohyb směrem k autokracii či demokracii a míru konkurence na politickém poli. Nesmíme totiž zapomenout, že ačkoliv oficiální cíl sankcí je omezit íránský jaderný program, zaměřují se i na větší demokratizaci země. S pomocí vytvořeného modelu jsme odhadli vliv šoku, který odpovídá současným sankcím. Výsledek ukazuje, že tyto sankce zpočátku stimulují demokracii – během prvních dvou let je jejich vliv pozitivní. Poté ale síla jejich dopadu slábne a dlouhodobý efekt je dokonce negativní.

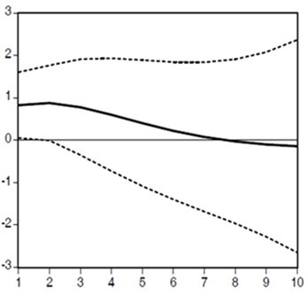
Uvedené zjištění potvrzuje to, že ekonomické sankce přinášejí ve většině případů v počáteční fázi jejich uplatňování pozitivní výsledky. I v případě Íránu se podle našeho výzkumu zdá být jasné, že v krátkém období povedou sankce ke zmírnění jeho pozice. V delším období bychom ale úspěch čekat neměli. Konkrétní vliv současných sankcí na míru demokratizace Íránu odhadovaný popsaným modelem vidíme v následujícím grafu. V sedmém roce uplatňování sankcí se již jejich dopad na demokratizaci země negativní. 
 
Sankce  

(Zdroj: Could Iranian sanctions work? ‘yes’ and ‘no’, but not ‘perhaps’, VOX)


Váš názor
Na tomto místě můžete zahájit diskusi. Zatím nebyl zadán žádný názor. Do diskuse mohou přispívat pouze přihlášení uživatelé (Přihlásit). Pokud nemáte účet, na který byste se mohli přihlásit, registrujte se zde.
Aktuální komentáře
15.12.2025
15:50SAP, Klarna, Spotify: Analytici předpovídají v příštím roce silný růst
14:25JPMorgan: Dolar bude ovlivňovat „ne tak velká americká výjimečnost“
13:07Týdenní výhled: Trhliny v AI narativu, opožděná makrodata a zasedání centrálních bank  
11:45Stříbro letos překonává i zlato. Příští rok může jeho jízda podle analytiků pokračovat
11:28Evropské akcie začínají týden růstem. Vedle AI se v příštích dnech vloží do hry makro  
10:00Revolucionář v robotických vysavačích iRobot vyhlásil bankrot
8:56Poslední celý obchodní týden roku pro akcie otevírají zisky futures a zlato o u maxima. Otazníky nad AI a Santa rally  
8:47Rozbřesk: Nová vláda přebírá ekonomiku s nízkou inflací. Energie ji v lednu mohou stlačit ještě níže
6:01Investiční výhled 2026: Čína přispívá k růstu i rizikům  
14.12.2025
13:21BlackRock: Umělá inteligence přinese dezinflační tlaky, Fed by měl jít se sazbami dolů
9:33Víkendář: Místo centrální banky podřízené vládě je lepší to, co udělal Clinton v 90. letech
13.12.2025
14:29Trumpova politika a její skutečné plody
9:07Víkendář: Změní stablecoiny monetární prostředí a fungování centrálních bank?
12.12.2025
22:00Wall Street se propadla nejvíce za tři týdny; stačilo pár komentářů k AI  
17:36Třetí fáze akciového trhu: těšení se na přínosy nových technologií
16:04Apple vs. AI bublina. Proč investoři hledají útočiště u výrobce iPhonu?
14:04Českou ekonomiku zatím táhne spotřeba a investice, ale zpomalení je na obzoru
12:37Euforie nevydržela. Akcie Broadcomu po konferenčním hovoru klesají kvůli obavám o ziskovost v AI  
12:20Michal Strnad plánuje expanzi. Chce z CSG udělat lídra evropského obranného průmyslu a zvažuje IPO v Amsterdamu
12:09Perly týdne: Bublina není důvod k prodeji

Související komentáře
Nejčtenější zprávy dne
Nejčtenější zprávy týdne
Nejdiskutovanější zprávy týdne
Kalendář událostí
ČasUdálost
0:50JP - Index podnikatelské aktivity Tankan
3:00Čína - Maloobchodní tržby, y/y
3:00Čína - Průmyslová výroba, y/y
10:00CZ - Běžný účet, mld. Kč
11:00EMU - Průmyslová výroba, y/y
14:30USA - Empire State Manufacturing index