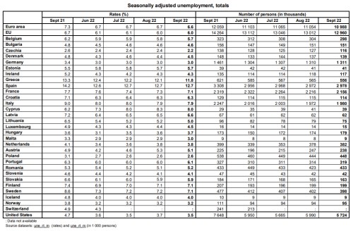
Míra nezaměstnanosti v Evropské unii v září zůstala na srpnových šesti procentech. Nejnižší byla i nadále v České republice, kde klesla na 2,2 procenta ze srpnových 2,4 procenta. Ve své tiskové zprávě to dnes uvedl evropský statistický úřad Eurostat.
V zemích používajících jednotnou evropskou měnu euro se míra nezaměstnanosti snížila na 6,6 procenta ze srpnových 6,7 procenta. Loni v září dosahovala míra nezaměstnanosti v eurozóně 7,3 procenta, zatímco v celé EU činila 6,7 procenta.
Eurostat odhaduje, že letos v září bylo v EU bez práce 12,960 milionu lidí, z toho 10,988 milionu v eurozóně. Proti srpnu se počet nezaměstnaných v unii snížil o 52.000 a v eurozóně o 66.000. Ve srovnání s loňským zářím počet nezaměstnaných v EU klesl o 1,304 milionu a v zemích platících eurem o 1,071 milionu.

Druhou nejnižší míru nezaměstnanosti v EU podle údajů Eurostatu vykázalo Polsko, a to 2,6 procenta. Za ním následovaly Německo a Malta se třemi procenty. Nejvyšší míru nezaměstnanosti mělo Španělsko, a to 12,7 procenta. Nad desetiprocentní hranicí se vedle Španělska nacházelo pouze Řecko, kde míra nezaměstnanosti činila 11,8 procenta.

Eurostat ve svých výpočtech vychází z obecně používané standardní definice nezaměstnanosti Mezinárodní organizace práce (ILO). Ta počítá mezi nezaměstnané ty, kteří si v posledních čtyřech týdnech aktivně hledali práci a jsou schopni nastoupit v nejbližších dvou týdnech.
V případě Česka Eurostat používá údaje Českého statistického úřadu (ČSÚ), které se liší od údajů Úřadu práce ČR. Podle těch míra nezaměstnanosti v České republice v září vzrostla o desetinu procentního bodu na 3,5 procenta. ČSÚ vychází u míry nezaměstnanosti z výběrového šetření pracovních sil, Úřad práce z počtu registrovaných uchazečů o zaměstnání.
Zdroj: ČTK, Eurostat