Se začátkem roku nadchází čas na každoroční seznam nepravděpodobných, ale možných výsledků na trzích, v politice i ve sportu. Trhy zůstávají volatilní, takže seznam překvapení (hypotetické předpovědi, které by se mohly stát, i když nejsou nutně součástí hlavního scénáře) je spíše pozitivní, uvádí Paul Jackson, globální vedoucí výzkumu alokace aktiv společnosti Invesco. Aristoteles řekl, že "pravděpodobným nemožnostem je třeba dávat přednost před nepravděpodobnými možnostmi," což znamená, že snáze uvěříme zajímavým nemožnostem než nepravděpodobným možnostem. Následující seznam si klade za cíl hledat tyto nepravděpodobné možnosti – nápady, které se vymykají konsensu pro rok 2023 a u kterých věříme, že mají alespoň 30% šanci na uskutečnění.
Domnívám se, že největších výnosů lze získat (nebo se alespoň vyhnout největším ztrátám) úspěšným zaujímáním pozic vymykajícím se konsensu, pokračuje Paul Jackson. Před rokem panovala díky dobrým výsledkům v roce 2021 nadějná nálada. Mé nepravděpodobné, ale možné situace pro rok 2022 byly nakloněny negativně. Nyní je nálada zmatená (po obtížném roce 2022), ale můj seznam je nadějnější.
Mé předpovědi pro rok 2022 byly ve srovnání s předchozími lety neobvykle úspěšné: Argentina vyhrála mistrovství světa ve fotbale, Bitcoin klesl pod 30 000 dolarů, index S&P 500 skončil níže atd. Ale co rok 2023?
1. Jádrová inflace v USA klesne pod 4,0 %
Během prezentací a setkání s investory na konci roku 2022 jsem nejvíce narážel se svým přesvědčením, že jádrová inflace během roku 2023 znatelně poklesne. Jádrová spotřebitelská inflace ve Spojených státech byla v listopadu 2022 na 6,0 %, přičemž v září 2022 dosáhla svého maxima na 6,6 %. Domnívám se, že inflace je z větší části cyklický jev a že nedávný záchvěv měl kořeny v měnové expanzi, k níž došlo během pandemie covidu.
Celková inflace spotřebitelských cen v USA dosáhla vrcholu v červnu 9,0 % a do listopadu klesla na 7,1 %. Vzhledem k oslabení cen komodit a zmírnění problémů v dodavatelském řetězci se domnívám, že celková inflace v první polovině roku 2023 klesne pod úroveň jádrové inflace a poté potáhne jádrovou inflaci níže. A co víc, poslední údaje o mzdách v USA (za prosinec) naznačují, že hodinová mzdová inflace nadále slábne a meziročně klesla na 5,0 % z březnového maxima 6,8 % (a to ještě před zvýšením nezaměstnanosti). Připočteme-li oslabení trhu s bydlením, které by mělo snížit inflaci v oblasti bydlení, domnívám se, že jádrová inflace CPI by mohla během roku 2023 klesnout pod 4,0 %. To by bylo pro mnoho účastníků trhu velkým (a pozitivním) překvapením.
2. Fed zpanikaří a koncem roku 2023 sníží sazby
Vzhledem k výše naznačenému poklesu inflace očekávám, že slabost americké ekonomiky přesvědčí americký Federální rezervní systém, aby v průběhu druhé poloviny roku 2023 změnil směr své politiky. To by následovalo po panickém zpřísnění v roce 2022 (poté, co Fed zůstal příliš dlouho uvolněný) a mohlo by přinést jedno nebo dvě snížení sazeb. Pro finanční trhy by to nebylo překvapením (na základě futures na Fed Funds), ale Fed to neočekává.
3. Kurz dolaru vůči jenu klesne pod 115
Po dosažení vrcholu kolem 150 v říjnu 2022 (32leté maximum) se kurz amerického dolaru vůči japonskému jenu od té doby snížil na úroveň kolem 130. Tomuto odrazu jenu nedávno napomohla Bank of Japan (BoJ), která rozšířila cílové rozpětí výnosů desetiletých dluhopisů (s horní hranicí 0,5 %). Ale vzhledem k tomu, že 8. dubna končí funkční období guvernéra Haruhiko Kurody, mohla by nastat doba extrémně uvolněného postoje BoJ.
4. Boris Johnson se vrátí na post premiéra
Příští parlamentní volby ve Spojeném království se musí konat nejpozději 24. ledna 2025. Sázkové kanceláře v současné době vypisují kurzy na to, že příštím premiérem bude Keir Starmer (labouristé). Rovněž naznačují, že rok 2024 je nejpravděpodobnějším rokem odchodu Rishiho Sunaka z Downing Street 10. K tomuto odchodu by mohlo dojít dvěma způsoby: prohrou v parlamentních volbách nebo po odvolání jeho vlastní stranou. Ačkoli průzkumy veřejného mínění jsou nyní pro konzervativce příznivější než v době Liz Trussové, náskok labouristů stále přesahuje 20 procentních bodů (podle průzkumů provedených na začátku roku 2023). Pokud by takto dopadly příští parlamentní volby, domnívám se, že labouristé by mohli mít většinu z více než 300 křesel a konzervativci méně než 100 parlamentních křesel.
Pokud se průzkumy veřejného mínění nezlepší (a Sunakův výkon není nijak povzbudivý), pochybuji, že konzervativní strana bude s jeho výměnou čekat až do konce letošního roku. Ač to zní bizarně, pokud by ho sesadili, mám podezření, že existuje velká šance, že by si jej konzervativní poslanci a členové strany zvolili za premiéra, který by je vedl do příštích voleb (navzdory probíhajícímu vyšetřování jeho chování ze strany Commons Privileges Committee).
5. Turecko volí nového prezidenta
Recep Tayyip Erdogan je tureckým prezidentem od roku 2014 a předtím byl od roku 2003 premiérem. V roce 2017 byla ústava změněna tak, aby se Turecko stalo prezidentským systémem. Zrušením funkce předsedy vlády se prezident stal nejmocnější osobou turecké vlády. Pokud by byl Erdogan v létě 2023 znovu zvolen (první kolo hlasování se zřejmě uskuteční 18. června, druhé kolo v případě potřeby 2. července), jednalo by se o jeho poslední prezidentské období (nyní platí limit dvou funkčních období po pěti letech).
Přestože však jeho strana AK zůstává nejpopulárnější (podle průzkumů veřejného mínění) a Erdogan může v prvním kole hlasování získat nejvíce hlasů, jeví se jako pravděpodobné, že ve druhém kole prohraje (na základě průzkumů veřejného mínění). Mezi jeho problémy zřejmě patří nedůvěra v demokratický systém a hospodářský úpadek (inflace dosáhla v říjnu 2022 vrcholu 86 %). Ačkoli je nebezpečné s tím počítat, předpokládám, že Erdogan prohraje, což předznamenává zásadní změnu v turecké politice.
6. NYSE FANG+2 v průběhu roku 2023 opět klesne
V loňském roce jsem hovořil o tom, že bitcoin během roku 2022 klesne pod 30 000 USD, přičemž v roce 2021 dosáhl vrcholu kolem 68 000 USD. Dalším aktivem, které se v podstatě řídilo naší šablonou „mánie“, byl soubor 10 růstových akcií, které tvoří index NYSE FANG+. Tato šablona naznačuje, že 45% ztráta je typická pro 12 měsíců po vrcholu typické finanční bubliny. Měsíční údaje (viz níže) naznačují, že pokles u indexu NYSE FANG+ se v podstatě řídil touto šablonou (pokles bitcoinu byl dramatičtější, stejně jako jeho vzestup, což si vyžádalo použití jiné stupnice).
Obrázek 1: Praskající bubliny

Poznámka: Minulá výkonnost není vodítkem pro budoucí výnosy. Na základě měsíčních údajů. NYSE FANG+ je rovnoměrně vážený index, který má reprezentovat segment amerických technologických a spotřebitelských sektorů. Zdroj: FANGUE FANGUE, s. r. o: Zdroj: Refinitiv Datastream a Invesco.
7. Ukrajinský státní dluh bude vynášet
Rizika jsou zřejmá, ale pochybuji, že by ostatní země dopustily, aby Ukrajina nesplácela, a předpokládám, že tyto dluhopisy mohou generovat vysoké (i když rizikové) výnosy. V roce 2022 po několika letech se na první místo na konci žebříčku výnosnosti dostaly turecké státní dluhopisy. Výnos desetiletých tureckých státních dluhopisů denominovaných v USD je v současné době 8,9 % (k 5. lednu), zatímco v případě USA je to 3,7 %, Brazílie 6,1 % a Mexika 5,9 %. To je vysoký výnos, ale ne tak vysoký jako 19,9 % v Argentině (u dluhopisů podléhajících newyorskému právu). I to ale bledne ve srovnání s 33,9% výnosem u desetiletých ukrajinských státních dluhopisů denominovaných v USD.
8. Pákistánské akcie překonají hlavní indexy
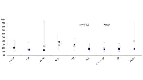
Při objevování exotických příležitostí na akciovém trhu obvykle hledáme svatý grál v podobě dividendového výnosu, který převyšuje poměr ceny k zisku (PE). Mezi aktuální příklady patří Brazílie, Chile, Kolumbie, Maďarsko, Ghana, Keňa a Rumunsko. Dalším příkladem je Pákistán, kde po 9% poklesu indexu v roce 2022 činí současný poměr PE k zisku KSE-100 4,3 a dividendový výnos 10,2 % (mění se na 3,3, resp. 10,7 % na základě konsenzuálních prognóz pro rok 2023 podle agentury Bloomberg k 5. lednu 2023).
Obvykle, kdykoli jsou oceňovací ukazatele na takových úrovních, je to proto, že se očekává pokles zisků a dividend. Tyto konsenzuální odhady však naznačují opak, což je ještě povzbudivější, zejména ve srovnání se zvýšenými hodnotovými ukazateli uplatňovanými u indických akcií (viz níže).
Obrázek 2. Cyklicky očištěný poměr cena/zisk je v Číně nižší než jinde

Poznámka: Cyklicky očištěný poměr cena/zisk používá desetiletý klouzavý průměr zisků. Na základě denních údajů od 3. ledna 1983 (s výjimkou Číny od 1. dubna 2004, Indie od 31. prosince 1999 a EM od 3. ledna 2005), s použitím indexů Datastream. K 30. prosinci 2022. Zdroj: Refinitiv Datastream a Invesco.
9. Čínským akciím se daří i přes potíže v souvislosti s covidem
Čína, která upustila od své politiky nulové tolerance covidu, může trpět podobně jako jiné země v počátečních fázích pandemie. Rozdíl je v tom, že Čína je částečně proočkovaná a že nyní existuje léčebná péče pro ty, kteří onemocní. Předpokládám, že to povede k tlaku na nemocnice (jako tomu bylo jinde) a bude to vyžadovat pravidelné lockdowny (jako tomu bylo jinde). Jakkoli to může být někdy bolestivé, tyto kroky musely být v určité fázi učiněny a, jak je vidět v jiných zemích, v příštím roce vypadá, že by vše mohlo být normální.
Navzdory obavám z Covidu se čínským akciím v posledních měsících dařilo a předpokládám, že tomu tak bude i v průběhu roku 2023. Za prvé, čínské akcie mají nižší ukazatele ocenění než jiné, přičemž cyklicky očištěný poměr PE na konci roku 2022 činí 14,7 ve srovnání s 30,8 v USA a 37,6 v Indii a vlastním historickým průměrem 25,9. To znamená, že čínské akcie mají i nižší ocenění než jiné. Za další, Čína na začátku roku 2022 fakticky prodělala recesi a její centrální banka uvolňuje své aktivity, což naznačuje, že ekonomická dynamika by mohla být lepší než v USA a Evropě. Domnívám se, že široké čínské akciové indexy by mohly v průběhu roku 2023 překonat globální indexy.
10. Irsko vyhraje Světový pohár v ragby 2023
Letošní mistrovství světa v ragby se hraje na přelomu září a října ve Francii. Sázkové kanceláře zřejmě favorizují hostitelskou Francii, věčné favority Nový Zéland a obhájce titulu Jihoafrickou republiku. Při pohledu na rozlosování a potenciální postup do finále předpokládám, že se v něm utkají Francie a Irsko, přičemž výhodu bude mít Irsko, protože tíha očekávání se pro domácí tým ukáže jako příliš velká.
Zdroj: Invesco